The Languages of Bernar Venet’s Conceptual Poetry
Since the outset of his career, Bernar Venet has been an inveterate experimentalist, an intrepid worker in a surprising variety of media. “People know my sculptures, of course,” he says, most likely referring to the monumental steel arcs that have garnered him international renown, “but they don’t k

Since the outset of his career, Bernar Venet has been an inveterate experimentalist, an intrepid worker in a surprising variety of media. “People know my sculptures, of course,” he says, most likely referring to the monumental steel arcs that have garnered him international renown, “but they don’t know my paintings, my photographs, my films, my poetry and the music I have made. I work in all these different areas because I’m never satisfied.” Fittingly enough, the first piece in Apoétiques: 1967-1998, a multilingual collection of his conceptual writing, asserts a salutary dissatisfaction with poetry and an uncompromising desire to transform its very makeup. Published in Geneva in 1999 by Mamco (Musée d’art moderne et contemporain), the book begins, “Il n’ya a qu’un moyen de faire avancer la poésie / C’est de donner tort à la poésie constituée / Autant dire de changer sa constitution [There is only one way to advance poetry / It is to invalidate how poetry is constituted / This is to say to change its constitution.]”
Poetry’s constitution is often understood as “the best words in their best order,” as Samuel Taylor Coleridge famously formulated. However, much of Venet’s compositional process relies not on the craft of diction (choosing the “best words”) or syntax (arranging the “best order”) but — in a Duchampian spirit — on finding and re-contextualizing chunks of readymade language. Venet also flouts Coleridge’s colleague William Wordsworth’s assertion that “all good poetry is the spontaneous overflow of powerful feelings” by fashioning found poetry from texts which come from non-literary and non-humanistic discourses. To quote the back cover of Apoétiques, Venet draws on “les journaux, les publications scientifiques et techniques, les dictionnaires et autres index [newspapers, scientific and technical publications, dictionaries and other indexes]” to create “une poésie déshabillée de tout lyrisme superflu [a poetry stripped of all superfluous lyricism].”
One way that Venet strips poetry of lyric superfluity is by resorting to the rudimentary syntax of the list. In “Hétérociens…,” for example, Venet gives us not the best words in their best order but an enumerative string of specialized terms likely taken from scientific and technical publications:
Hétérociens
Marpaille
Disomie
Glumellule
Battiture
Cachexie
Épizoaire
Chélate
Évonyme
Éxoine
Lacertiforme
Biqueter
Impaction
Kyriologique
Some of these words, which come from such fields as geography, metallurgy, botany, and zoology, are identical or nearly identical in English; a glumellule is, according to the OED, “one of the scales frequently found at the base of the ovary in grasses; a lodicule.” But despite such easy translation from one language to the other, “Hétérociens…” is, in any idiom, a willful challenge to comprehension and accessibility; as such, it throws a particular emphasis on the opaque materiality of the words, on the sheer graphicity of the marks on the page. It is as if, as Venet suggests, the poem were composed in kyriologique, a kind of hieroglyphic writing.
Apoétiques is filled with similar list poems that record everything from synonyms to acronyms to currency exchange rates to the most frequented tourist destinations in France. While some of Venet’s pieces in English may be easier to decipher than “Hétérociens…” they often foreground their fragmentariness and incompletion. For example, a section of another list poem entitled “Index A, B, C, D, about:” reads, “Axiom of choice, / Axiom of reducibility, / Banach, S., / Barcan, R., / Basis, / Baylis, C.A., / Berkeley, G., / Binormal classes, / Boolean Algebra, / Boolean Functions, / Boolean propositional logic, / Bound occurrence.” “Index A, B, C, D, about:” is doubly fragmentary. Not only does it omit “C” through “Z” but, as a paratext, it alludes to a main text that is absent. Though this index is likely from a textbook such as Paul C. Rosenbloom’s The Elements of Mathematical Logic (1950), it also suggests the possibility of any number of main texts, perhaps a virtual one which does not yet exist.
Like “Index A, B, C, D, about:” “Poème qui…” is not the main work itself. It, in metapoetic fashion, merely gestures towards one:
Poème qui…
Poème qui implique l’usage des intensités extremes,
relatives à la phonation :
du râle,
du cri,
de la monotonie,
du halètement,
du rire,
de l’éternuement,
du sifflement,
de la toux,
Bref, qui refuse la prédominance de la régularisation, du
principe de constance.
Poem that…
A poem that entails the use of extreme intensities,
related to phonation :
of growling,
of screaming,
of monotony,
of panting,
of laughing,
of sneezing,
of whistling,
of coughing,
In brief, that refuses the predominance of regulation, of the
principle of consistency.
“Poème qui…” is exemplarily conceptual in the way that it proposes a poem — in this case, a sound poem — without betraying a need to execute it. As Lawrence Weiner said in 1968, “The piece need not be built.” Unlike “Hétérociens…” the words of “Poème qui…” highlight their referents—the various noises that are described — rather than the peculiar shapes of their signifiers. In short, “Poème qui…” emphasizes not the materiality of the printed page but that of a potential performance. But like “Hétérociens…” “Poème qui…” explores variables in comprehension and incomprehension. If the sense of “Poème qui…” is eminently understandable, then the poem it proposes would consist of all sound and no linguistic sense. It would entail phonation without articulation.
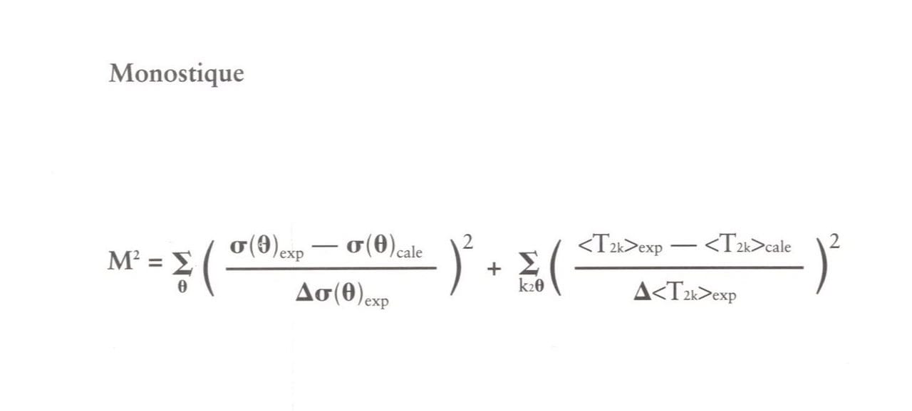
Venet’s minimalist “Monostique” also tests the complicated dynamics of comprehension, reception, and appreciation. “Monostique” turns to the symbolic language of mathematics, stripping the poem not only of lyricism but, contra Coleridge, of words — let alone the “best” ones — altogether. If Edgar Allan Poe argued that “The Raven,” his most well-known poem, “proceeded, step by step, to its completion with the precision and rigid consequence of a mathematical problem,” then Venet raises such precision to a new level by presenting the math itself as the poem.

Venet explains this mathematical turn in a 1971 document entitled “Statements,” which describes his execution of a four-year study plan involving a range of disciplines in math and science:

Having moved to New York from France in 1967, Venet frequented Columbia University during these years to speak with “expert[s] [. . .] on the subjects to be presented.” He continues, “I did not present Mathematics as Art; but Mathematics as Mathematics [. . . ] I present mathematics and other scientific disciplines for what they are, i.e., pure knowledge as such.”
To be sure, “Monostique” can be appreciated on a purely informational, non-artistic level — as mathematics “as such.” Though, in a subtle way, Venet is engaging with poetic tradition: a monostich is a one-line poem, a form that can be traced back to antiquity, so the very title “Monostique” establishes an “impure” framing, an artistic or poetic context that qualifies and alters “pure knowledge as such.” Venet’s monostich, despite its brevity, challenges the easy digestibility and memorability of more conventional gnomai, proverbs, and epigrams. Furthermore, as a conceptual piece, the radical juxtaposition between title and line highlights the perceived chasm between what C.P. Snow has called “the two cultures” and impels the audience to reflect upon the conventions that dictate the proper subject matter of poetry. Like much of Venet’s work, “Monostique” demonstrates a productive dialectical tension between conceptuality and materiality. While it may be a conceptualist gesture (as a demonstration of pure knowledge), to the non-specialist, its potential appeal inheres in the materiality of its visual form, in the way it can be “read” as a concrete poem. In other words, its illegibility can lead to a consideration of its aesthetics, to the surface beauty of its typography and design. “Can,” of course, is the operative word here: the non-specialist, unable to make sense of the equation, might just as well reject “Monostique” in frustration.
Venet’s use of mathematics stems from his interest in monosemy. Following French semiologist Jacques Bertin, he associates figurative representation with polysemy (which is open to multiple meanings) and abstraction with pansemy (which is open to any meaning). Mathematical symbols, on the other hand, convey only a single, fixed meaning, and for Venet, such unambiguity has not yet been explored in the history of art. In speaking of the monosemic language of mathematics in an interview with Art Plural Gallery, Venet has recognized its capacity to be transculturally and universally understood: “whether you are Chinese, European, American—or whatever country you are—you read exactly the same thing because of the signs that are being used.” In dialectical fashion, Venet gestures towards a universal unintelligibility near the end of Apoétiques. The sequence “Saturation” begins with the seemingly clear language of mathematics but gradually progresses through stages of greater and greater opacity.

On the first page of “Saturation,” Venet overlays a text — apparently from a logic or set theory textbook — with another, creating a palimpsestic effect. After three doublespreads of progressively darker textual overlappings, the poem, in its inscriptional excesses, becomes nearly impossible to read. The final doublespread presents a kind of visual cacophony:

The recto side is so dense in inky saturation that it is, for all intents and purposes, unreadable for anyone, no matter what his or her linguistic and mathematical proficiencies are. This last page approaches the monochrome blackness of the tar paintings Venet executed in the early 1960s. “Saturation,” then, charts an itinerary from the monosemy of mathematics to pansemic abstraction, from one extreme to another.

*
“Le caviardage comme un des Beaux-Arts, la copie mécanique comme antidote au bégaiement des vieilleries poétiques [Redaction as a fine art, mechanical copying as an antidote to stammering poetic relics]”: if Mamco’s framing of Apoétiques seems a lot like what is now immediately recognizable as “conceptual poetry” — a label which has been popularized by such texts as Robert Fitterman and Vanessa Place’s manifesto Notes on Conceptualisms (2009) and Craig Dworkin and Kenneth Goldsmith’s Against Expression: An Anthology of Conceptual Writing (2011) — it is because Venet was part of the wave of conceptual artists from the late 1960s which greatly influenced this recent conceptual turn. He appeared in Vito Acconci and Bernadette Mayer’s short-lived but foundational journal 0 To 9, which published other prominent conceptualists such as Robert Barry, Dan Graham, Douglas Huebler, Sol LeWitt, and Jackson Mac Low.
If conceptual writing is now so strongly associated with twenty-first century practice, in general, and recent controversial provocations such as Goldsmith’s “The Body of Michael Brown” and Place’s Gone with the Wind, in particular, the little-known Apoétiques reminds us that textual appropriation and anti-expressivist poetry have a longer history despite rhetoric that suggests conceptual poetry is new. In a 2011 interview with the Academy of American Poets, Goldsmith has (somewhat misleadingly) said,
[I]f conceptual art happened fifty years ago, we’re just beginning to get around to it now. These are ideas that have never been explored in poetry. We’ve had a little bit of pastiche, a little bit of — you know, a line from here, a line from there. But we’ve never had the concept of lifting something that you didn’t write and moving it over five inches, saying that it’s yours, and claiming that it’s a newly authored text.
In Issue 6 of 0 To 9 (1969), Venet, in fact, appropriated something he didn’t write and repackaged it as a newly authored text; he took F. Occhionero’s paper “On Differential Rotation” (which was published in a 1968 issue of Annales d’Astrophysique) and called it “Proposition for a Play” (with the appended stage direction “On the stage one blackboard and a P.H.D. Astronomy.”) And nearly all of the poems in Apoétiques are “lifted”: Venet’s “Bat,” a reproduction of tennis box scores or “Weather Report (I)” and “Weather Report (II),” transcriptions of local and international weather reports, constitute forms of “uncreative writing” avant la lettre. In fact, Venet’s weather reports presage Goldsmith’s The Weather (2005).
More importantly, Apoétiques can help us widen our understanding of what conceptual writing can achieve at a time when Ken Chen, reacting to the racial politics of Goldsmith’s “The Body of Michael Brown” and Place’s Gone with the Wind, is declaring their brand of conceptualism over: “[Conceptual Poetry] is a movement [Goldsmith and Place] have relentlessly marketed and one that, in the past few months, they have destroyed. While the techniques of Conceptual Poetry will continue to be deployed after Spring 2015 [. . .] the brand is perhaps dead.” To quote Venet, perhaps conceptual poetry, as it is practiced in the United States, needs to “change its constitution.”
Apoétiques: 1967-1998 (1999) is published by the Musee d’Art Moderne et Contemporain and is available from Amazon and other online booksellers.